This website requires JavaScript.
Explore
Help
Sign In
bitcoin
/
bips
Watch
1
Star
0
Fork
0
You've already forked bips
mirror of
https://github.com/bitcoin/bips.git
synced
2026-01-19 15:03:08 +00:00
Code
Issues
Releases
Wiki
Activity
bips
/
bip-0098
/
node-variants.png
Karl-Johan Alm
e61b25087d
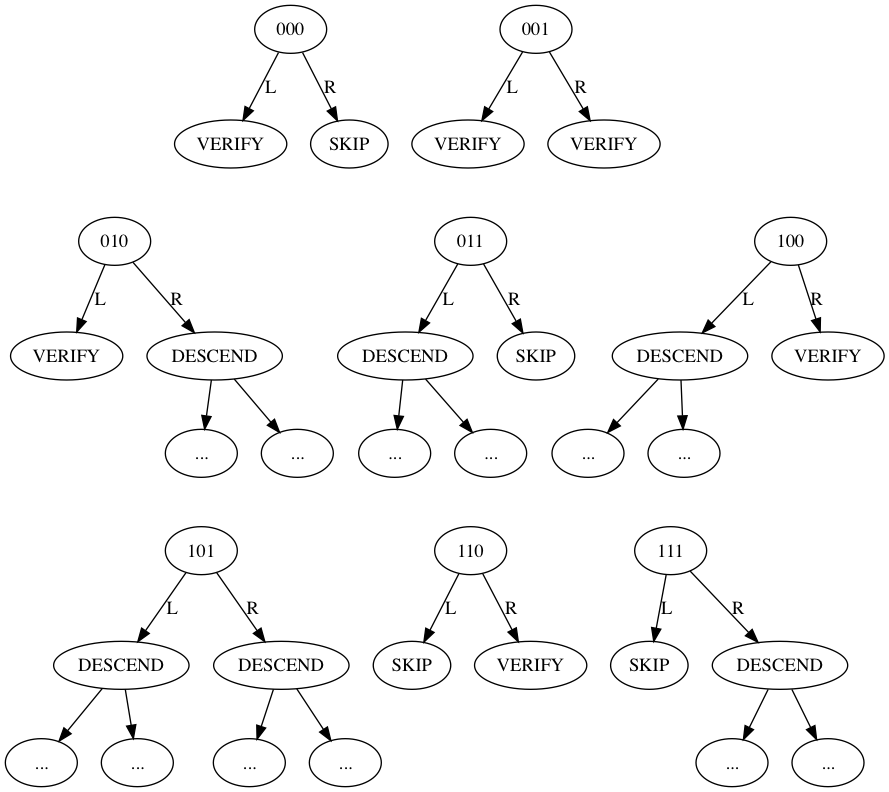
BIP-0098: Fast Merkle Trees
2017-11-16 15:47:35 +09:00
103 KiB
889x792px
Raw
History